🧩 Projeto executivo: quanto custa e por que ele economiza dinheiro na obra
Descubra quanto custa um projeto executivo e por que ele é essencial para economizar na obra, evitar retrabalhos, falhas técnicas e garantir segurança estrutural e financeira.
PARA SUA CASAPARA NEGÓCIOS
Matheus L. Oliveira e Mariana Harada
12/24/20253 min read


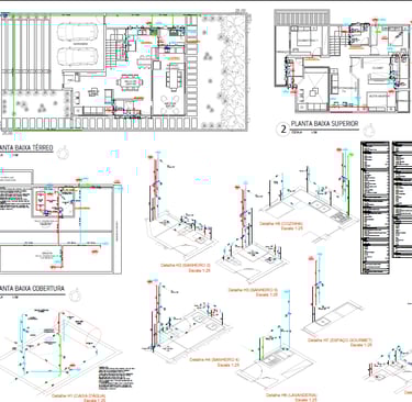
O projeto executivo é o conjunto completo de desenhos e especificações técnicas que garante segurança, previsibilidade e economia na obra, evitando improvisos, falhas estruturais e custos extras.
🧱 O que é um projeto executivo?
O projeto executivo é o manual técnico completo da obra.
É ele que transforma a ideia arquitetônica em informações claras, mensuráveis e seguras para a execução.
Diferente do projeto legal ou do anteprojeto, o projeto executivo é feito para construir, orientando cada etapa da obra com precisão técnica e reduzindo riscos.
⚠️ Um erro comum: construir apenas com o projeto legal
Muitas obras começam apenas com o projeto legal aprovado na prefeitura.
Isso acontece porque o projeto legal cumpre exigências urbanísticas — mas não foi feito para orientar a execução da obra.
O projeto legal normalmente não define:
detalhes construtivos;
soluções estruturais completas;
dimensionamento de instalações;
especificações de materiais;
compatibilização entre disciplinas.
👉 Construir apenas com projeto legal significa decidir tudo no canteiro, o que aumenta erros, desperdícios e custos.
🚨 O risco de não fazer os projetos de engenharia
Um dos maiores problemas nas obras é a ausência ou deficiência dos projetos de engenharia, especialmente:
projeto estrutural;
projeto elétrico;
projeto hidrossanitário.
Quando esses projetos não existem — ou são feitos de forma incompleta — a obra fica tecnicamente insegura.
Os riscos mais comuns incluem:
pilares, vigas e lajes mal dimensionados;
sobrecargas estruturais não previstas;
fissuras, trincas e deformações;
interferências entre tubulações e estrutura;
instalações improvisadas;
dificuldade de manutenção futura;
comprometimento da durabilidade da edificação.
⚠️ Engenharia não é opinião, é cálculo.
E cálculo não pode ser feito “no olho” ou decidido durante a execução.
🏗️ Segurança estrutural e responsabilidade técnica
Projetos de engenharia existem para garantir:
estabilidade da edificação;
segurança dos moradores;
desempenho ao longo do tempo;
conformidade com normas técnicas.
Sem projetos bem definidos, qualquer ajuste feito em obra pode:
comprometer a estrutura;
gerar riscos à integridade física das pessoas;
resultar em custos elevados de correção;
inviabilizar futuras ampliações.
Além disso, a ausência de projeto transfere o risco para o proprietário, que passa a assumir decisões técnicas sem respaldo formal.
📉 Impacto direto no orçamento e no cronograma
A falta de projetos executivos e de engenharia impacta diretamente:
o orçamento da obra;
o cronograma;
o fluxo de caixa.
Sem projeto:
compras são feitas sem quantitativos confiáveis;
serviços precisam ser refeitos;
soluções são alteradas durante a execução;
prazos se alongam;
custos se acumulam sem controle.
👉 O que parece economia no início costuma se transformar em prejuízo ao longo da obra.
📐 O que um projeto executivo completo deve conter
Um projeto executivo bem estruturado inclui:
arquitetura executiva detalhada;
projeto estrutural completo;
projetos elétrico e hidrossanitário;
detalhes construtivos;
memoriais e especificações técnicas;
compatibilização entre todas as disciplinas;
base técnica para orçamento e planejamento.
É esse conjunto que permite construir com segurança, previsibilidade e controle.
📅 Projeto executivo como base do planejamento profissional
Com projetos completos, é possível:
elaborar orçamento preciso;
montar cronograma físico-financeiro confiável;
planejar compras e contratações;
controlar custos ao longo da obra;
reduzir imprevistos.
👉 Planejamento profissional começa no projeto, não na execução.
✅ Conclusão
Construir sem projetos de engenharia ou apenas com o projeto legal é assumir riscos técnicos e financeiros desnecessários.
O projeto executivo:
protege o investimento;
garante segurança estrutural;
reduz custos;
evita improvisos;
organiza a obra do início ao fim.
Mais do que um conjunto de desenhos, ele é a base de uma construção segura, eficiente e economicamente viável.
📞 Planeje sua obra com segurança
A Oliveira Harada desenvolve projetos executivos completos, com integração entre arquitetura, engenharia e planejamento financeiro.
